
Prateći google mapu završio sam ravno u mjesnom groblju. Ali koji minut kasnije će se ispostaviti da to, ipak, nije adresa Drinska 6 u srbijanskim Badovincima, na desnoj obali Drine. Malo lutanja i raspitivanja dovelo me do “Naše kuće mesa” u centru ovog naselja. Na zaključanim ulaznim vratima je pisalo “Drinska 6″. Tu bi trebala prebivati četiri člana bijeljinske porodice Beganović. Halil, Latifa, Mirsad i Sead, prema spisku Centralne izborne komisije BiH, prijavljeni su za glasanje putem pošte. Naznačeno je da će glasati iz Srbije, izborni materijal bi trebali primiti na adresi Drinska 6 u Badovincima. Tu su još, za glasanje iz dijaspore, prijavljeni Sabina i Davor Drinić, zatim Aleksandar Perić, Čedomir Spasojević, Sabrija Hokić i Šaćir Omerović. Poštu bi u njihovo ime trebale porimiti dvije Gordane, jedna Mašić, a druga Tovilović.

Spisak birača iz mesnice
“Gordana Tovilović je vlasnica mesnice. Tu je Drinska 6”, kaže nam njen komšija i poziva telefonom poduzetnicu iz Badinovaca.
Ukazuje se, upotom, crveni automobil na kojem piše “Naša kuća mesa”. To bi trebala biti Gordana Tovilović. Razgovor se odvija kroz otvoreni prozor njenog automobila.
“Čekaj, čekaj, čekaj. Ono za biralište. Jeste”, odgovara Tovilovićeva na moje pitanje da li se neko prijavio za glasanje u njenoj mesnici.
Imena birača iz Bosne – ne zna. Ni imena onih ljudi iz BiH koji su tražili njenu adresu se ne sjeća. Dolazili su jedan muškarac i jedna žena i rekli joj da će dobiti poštu koju će primiti ona i njena radnica u mesnici Gordana Mašić.
“Dobro, ali kako su se ovi Bošnjaci prijavili”, pitam vlasnicu mesnice.
“Šta ja znam kako su se oni prijavili. Možda je neko uzeo naše ime I prezime”, odgovara Gordana.
“Ali niko ne živi u mesnici”, konstatujem.
“Pa, ne živim ni ja u mesnici”, zaključuje Gordana Tovilović.
Ponovo gledam spisak Centralne izborne komisije BiH. Dvanaest bh. državljana iz Bijeljine prijavilo je da će glasati sa adrese Drinska 6 u Badinovcima. Na tom mjestu je mesnica čija se vlasnica malo čega sjeća.
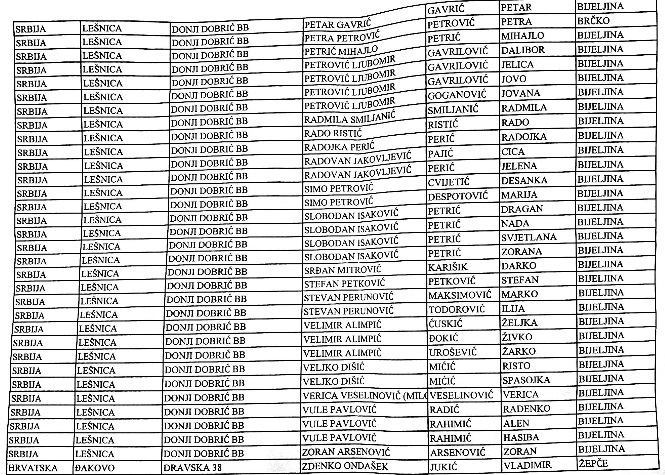
Nešto ranije, bh. državljane sam tražio u Donjem Dobriću kod Loznice. Njih 55 se prijavilo da će glasati sa adrese Donji Dobrić b.b.
Spisak birača iz Donjeg Dobrića
Pred mjesnom trgovinom se raspitujem za imena prijavljenih. Kod Velimira Alimpića u kući su prijavljeni Željka Ćuskić, Živko Đokić i Žarko Urošević. Svi će glasati putem pošte za lokalne vlasti u Bijeljini.
“Ma, taj je umro, moj ujak, prije deset godina. Nema tamo nikoga. Korov samo”, kaže biciklista parkiran ispred trgovine.
Čitamo redom imena sa spiska. Nepoznati ljudi na nepoznatim adresama. Nemanja Pavlović je vlasnik kafane. Zatičemo ga s prijateljem. Dajemo spisak da pronađe svoje ime i imena onih što će glasati iz njegove kafane.
“Nemoj snimati”, upozorava Nemanja.
Nemanja traži svoje fiktivne podstanare na spisku birača
Potom potvrđuje da kod njega niko nije prijavljen, niti će od njega iko glasati na izborima u Bosni. Međutim, na spisku Centralne izborne komisije BiH je navedeno da će baš s te adrese glasati Cvijetko Gavrić i Borislav Gligorić. I oni su iz Bijeljine. Na spisku fiktivnih birača u Donjem Dobriću je preko 50 Bijeljinaca. I dva Brčaka. Petar Petrović iz Brčkog je prijavljen kod Petra Petrovića iz Donjeg Dobrića
“Nema Petra Petrovića”, usaglašeno će radnica u trgovini i biciklista.
Uglavnom, skoro svako ime koje smo zajednički pročitali – nepoznato je mještanima ovog sela. A ako je i bilo poznatih – sigurno nemaju podstanare iz Bosne.
O čemu se radi, najbolje ilustrije priča Almira Hećimovića iz Šamca. Njegov djed Alija, rođen je 1922. godine. Trenutno je smješten u staračkom domu u tom gradu.
“Djed je prijavljen na adresu Drenje bb, Kruševica, Lazarevac, Srbija”, napisao nam je Almir Hećimović koji je pokušao uložiti žalbu CIK-u na ovu lažnu prijavu. No, rok žalbi je istekao. Alija Hećimović će glasati iz Lazarevca, u kojem, za skoro stoljeće svog života, nikad nije bio.
Piše: Avdo Avdić
(Vijesti.ba / Istraga.ba)