Zaposleni u državnim i entitetskim institucijama Bosne i Hercegovine, pored izdašnih plata i više nego pristojnog dodatka za topli obrok, odlučili su da i dalje značajan dio javnog novca usmjere na – hranu i piće.
Prema dostupnim podacima, iz budžeta će se u narednom periodu za ove namjene izdvojiti višemilionski iznos.
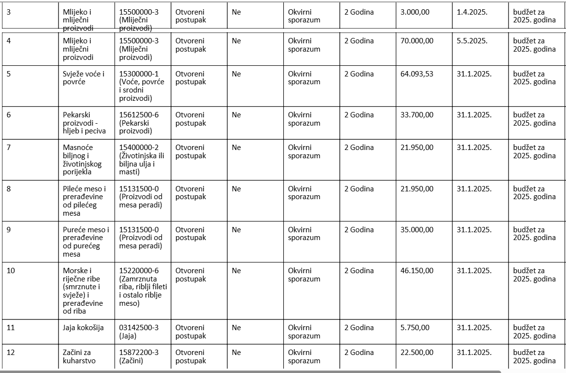
Naime, planovi javnih nabavki Službe za zajedničke poslove institucija Bosne i Hercegovine, Službe za zajedničke poslove organa i tijela Federacije Bosne i Hercegovine te Ugostiteljskog servisa Vlade RS pokazuju da zbirna potrošnja ovih institucija na hranu i piće dostiže gotovo 5,5 miliona konvertibilnih maraka.
Primjera radi, samo Služba za zajedničke poslove institucija BiH planira da u periodu od dvije godine za te namjene izdvoji čak 1.480.997 KM. I dok građani prate rast cijena osnovnih životnih namirnica i smanjuju troškove, državni aparat očigledno ne planira štednju – naprotiv, luksuz i komfor ostaju prioritet.
Svi ovi podaci, bez sumnje, ukazuju na rastrošan i prenapuhan državni aparat, jedan od masovnijih u svijetu ako se uzme u obzir broj zaposlenih u odnosu na ukupnu populaciju zemlje. Umjesto racionalizacije i reforme javne uprave, vlast i dalje pokazuje da se komfor budžetskih korisnika često stavlja ispred interesa građana koji taj sistem finansiraju.
Ljupko Mišeljić
(Vijesti.ba)
Chat čitatelja